Engineering
Chemistry
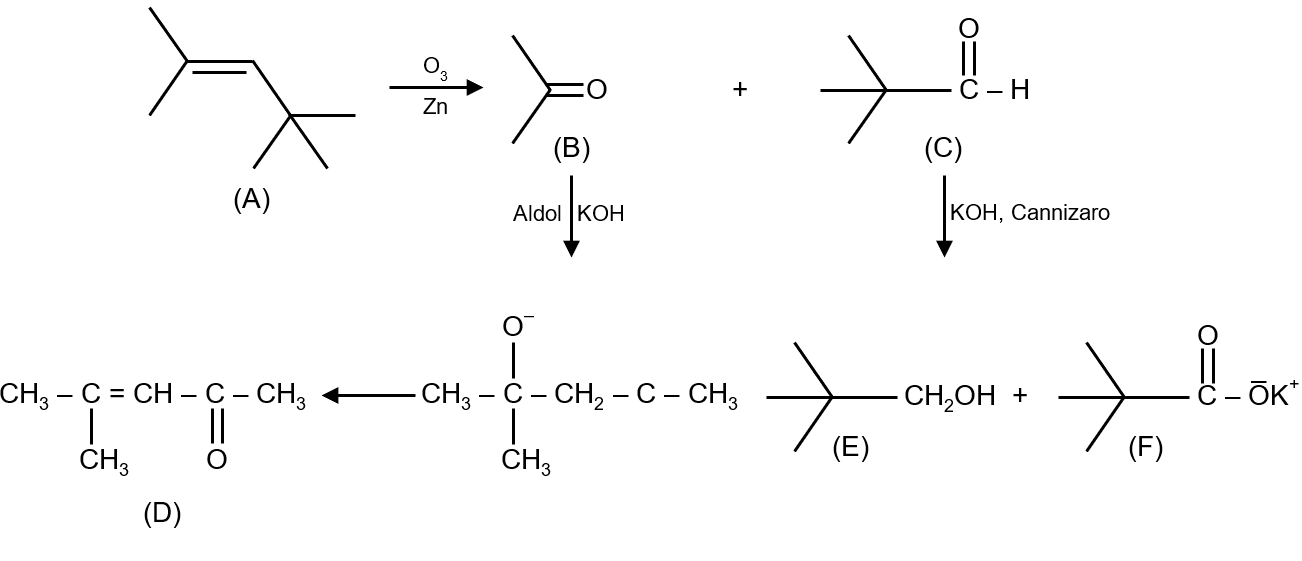
Ozonolysis
Aldol condensation
Cannizzaro reaction

Question

JEE Advance
College PredictorLive

Know your College Admission Chances Based on your Rank/Percentile, Category and Home State.

Get your JEE Main Personalised Report with Top Predicted Colleges in JoSA

Linked Question 1

Select true statement.

E and F both can show optical isomerism

E and F both can show geometrical isomerism

B and C gives same reaction with KOH

More than one compound of the formula C8H16 can be the compound A.

Solution

Linked Question 2

Best method to prepare compound A is:

Solution

Linked Question 3

A can be

Solution