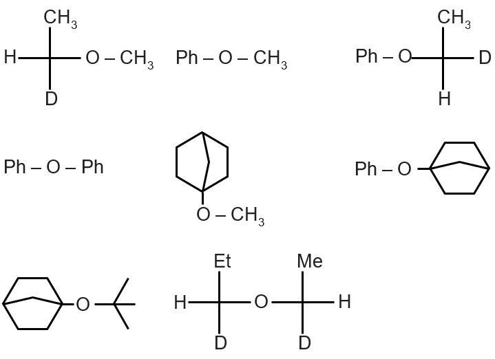
Consider following ethers and give number of ethers which can not be prepared by Williomson's ether synthesis.

Know your College Admission Chances Based on your Rank/Percentile, Category and Home State.
Get your JEE Main Personalised Report with Top Predicted Colleges in JoSA
