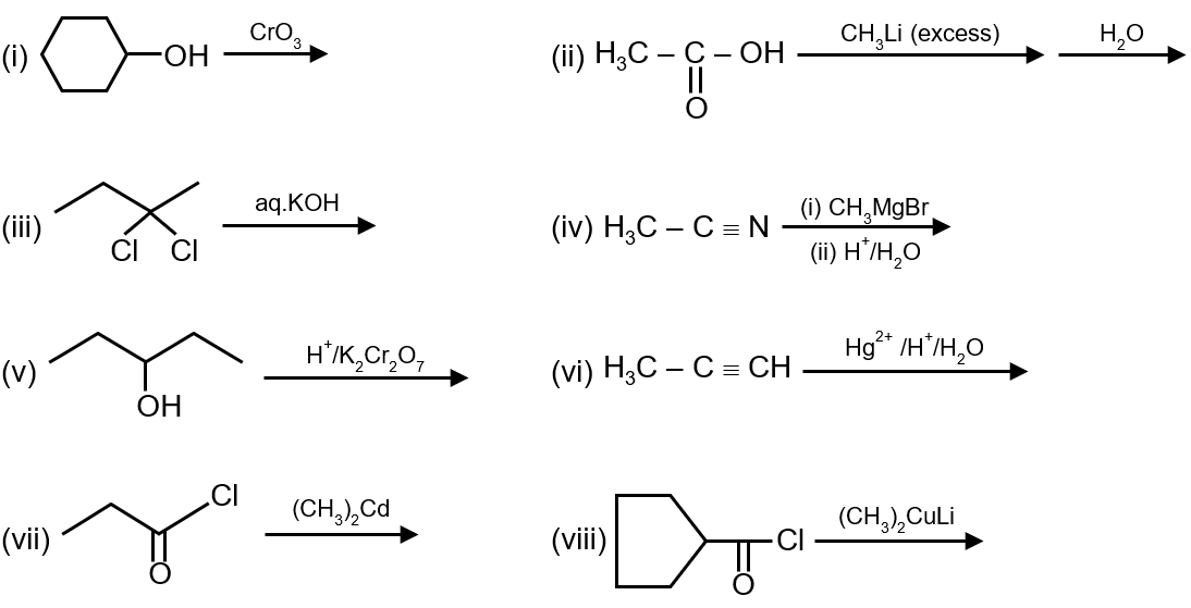
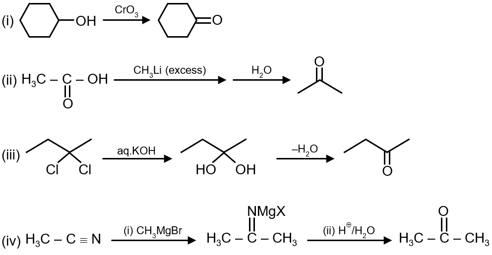
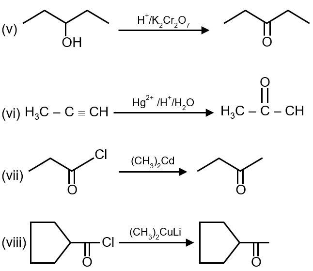
Consider following reactions and write total number of reactions which can produce ketone as major product.

Know your College Admission Chances Based on your Rank/Percentile, Category and Home State.
Get your JEE Main Personalised Report with Top Predicted Colleges in JoSA

