Engineering
Chemistry
Iodoform test
Qualitative analysis of organic compounds
Test of alcohol
Question

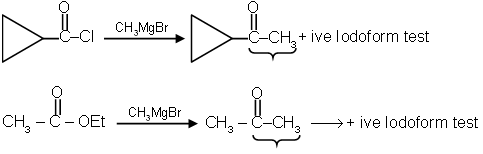
Final product of which of following reaction give positive iodoform test.

JEE Advance
College PredictorLive

Know your College Admission Chances Based on your Rank/Percentile, Category and Home State.

Get your JEE Main Personalised Report with Top Predicted Colleges in JoSA

Solution
Verified BY
Verified by Zigyan