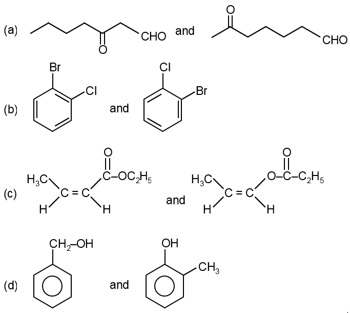
Give the relationship in given pair.

Write (1) if they are position isomers
(2) if they are chain isomers
(3) if they are functional isomers
(4) if they are ring chain isomers
(5) if they are metamers isomers
(6) if they are in identical
(7) if they are homologous isomers
in answer sheet.
Know your College Admission Chances Based on your Rank/Percentile, Category and Home State.
Get your JEE Main Personalised Report with Top Predicted Colleges in JoSA
The given pair are both ethers with molecular formula C4H10O. They differ in the nature of the alkyl groups attached to the oxygen atom. The first is ethyl methyl ether (CH3-O-CH2CH3) and the second is isopropyl methyl ether ((CH3)2CH-O-CH3). This is a difference in the carbon chain of the alkyl groups, not the position of the functional group or the functional group itself. Therefore, they are metamers, a subclass of functional isomers where the alkyl groups differ.
Final Answer: (5)