Engineering
Chemistry
IUPAC Nomenclature of Organic Compound
Cannizzaro reaction
Basic concepts of organic chemistry
Question

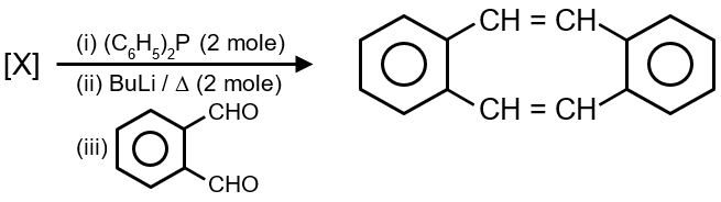
In the given reaction:                                    

[X] is:

All of these

JEE Advance
College PredictorLive

Know your College Admission Chances Based on your Rank/Percentile, Category and Home State.

Get your JEE Main Personalised Report with Top Predicted Colleges in JoSA

Solution
Verified BY
Verified by Zigyan