Engineering
Chemistry
Nucleophilic Substitution
Chemical Properties of Alkyl Halide
Elimination Reactions
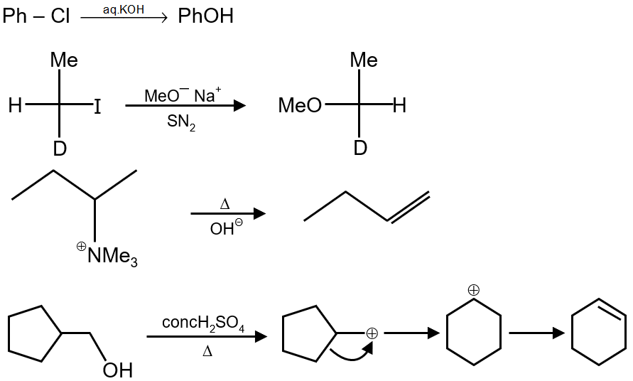
Question

In which of the following reaction correct product is given 

Ph – Cl aq. KOH PhOH

JEE Advance
College PredictorLive

Know your College Admission Chances Based on your Rank/Percentile, Category and Home State.

Get your JEE Main Personalised Report with Top Predicted Colleges in JoSA

Solution