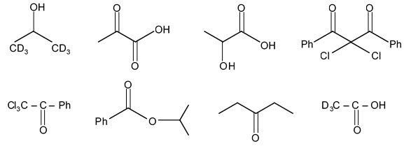
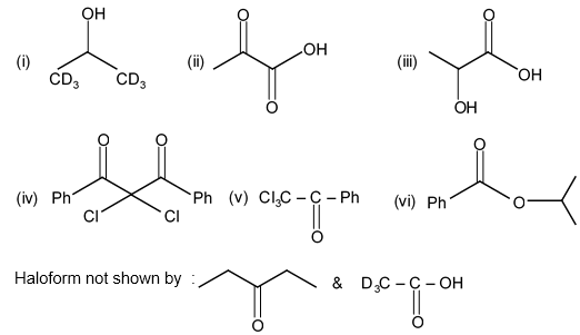
Number of compounds which can show haloform reaction are :

Know your College Admission Chances Based on your Rank/Percentile, Category and Home State.
Get your JEE Main Personalised Report with Top Predicted Colleges in JoSA
Haloform reaction shown by
