Engineering
Chemistry
Chemical Reactions of Amines
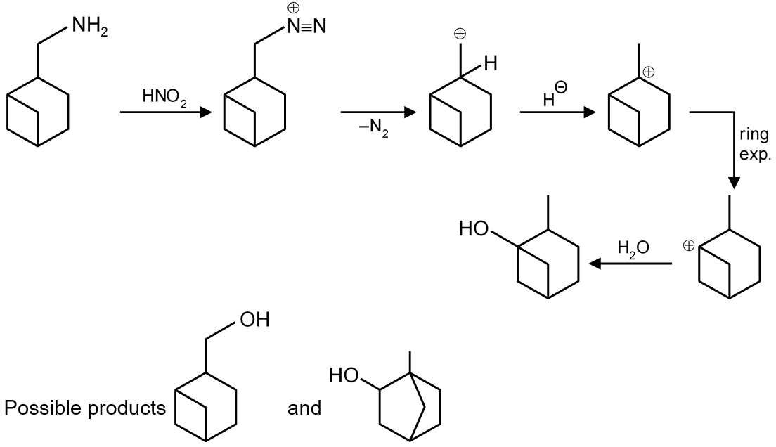
Carbocation
Question


Product(s) will be

JEE Advance
College PredictorLive

Know your College Admission Chances Based on your Rank/Percentile, Category and Home State.

Get your JEE Main Personalised Report with Top Predicted Colleges in JoSA

Solution