Engineering
Chemistry
Alkyne
Reduction
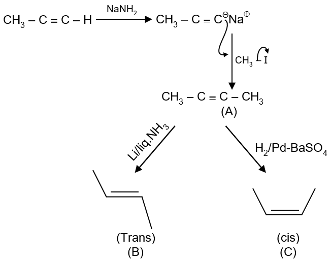
Question

Relation between (B) and (C) is:

Geometrical isomer

Enantiomer    

Diastereomer

Meso

JEE Advance
College PredictorLive

Know your College Admission Chances Based on your Rank/Percentile, Category and Home State.

Get your JEE Main Personalised Report with Top Predicted Colleges in JoSA

Solution