Engineering
Chemistry
Alkene
Electrophilic addition
Question


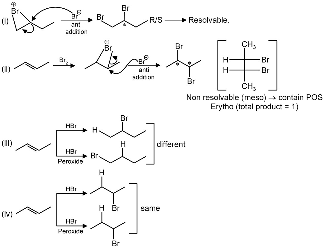
Select the correct statement about compund I & compound II form the following.

I gives different product with HBr  in presence or absence of peroxide.

I gives resolvable product with Br2 / CCl4

II gives non resolvable product with Br2 / CCl4

II gives same product with HBr  in presence or absence of peroxide.

JEE Advance
College PredictorLive

Know your College Admission Chances Based on your Rank/Percentile, Category and Home State.

Get your JEE Main Personalised Report with Top Predicted Colleges in JoSA

Solution