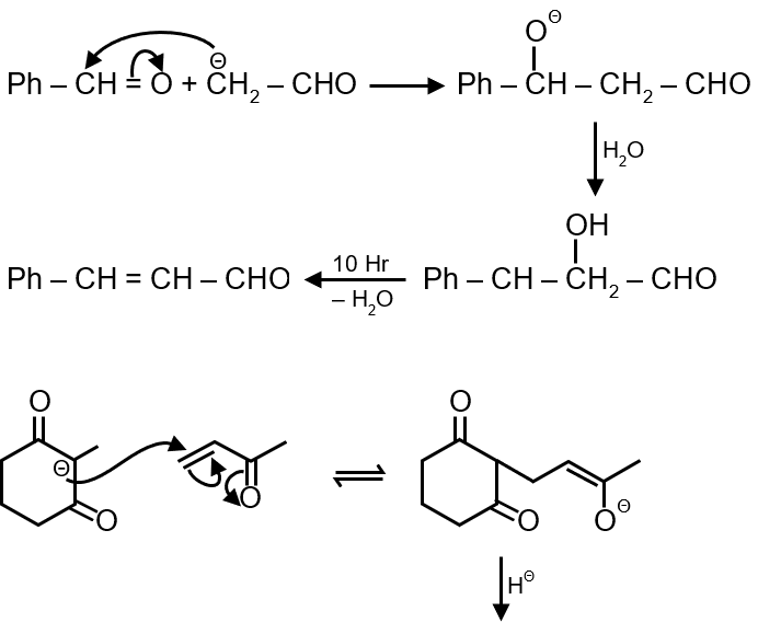
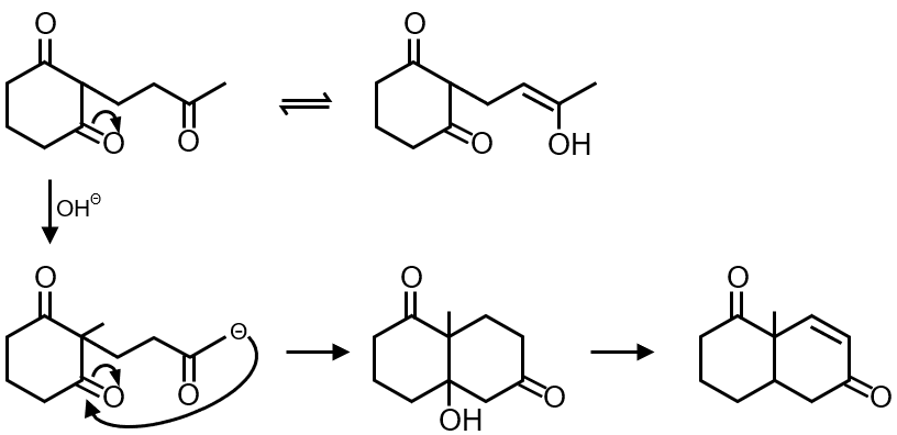
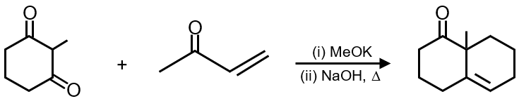
Select the reaction(s) in which correct major product is shown.
Know your College Admission Chances Based on your Rank/Percentile, Category and Home State.
Get your JEE Main Personalised Report with Top Predicted Colleges in JoSA


Intramolecular Canizzaro followed by dimerization.
