Engineering
Chemistry
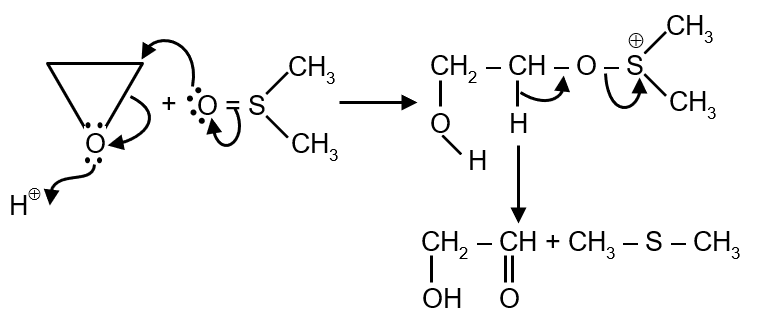
Chemical reactions of ether
Question


Structure of X is

HO–CH2–CHO

JEE Advance
College PredictorLive

Know your College Admission Chances Based on your Rank/Percentile, Category and Home State.

Get your JEE Main Personalised Report with Top Predicted Colleges in JoSA

Solution