Engineering
Chemistry
Chemical reactions of phenol
Electrophilic substitution
Question

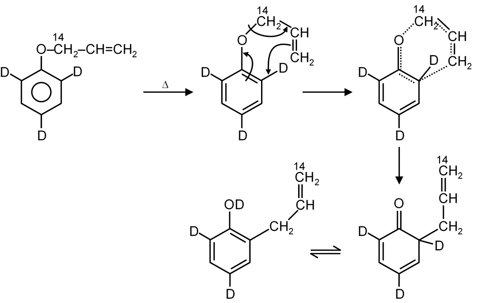
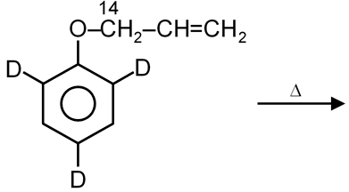
The major organic product obtained in the following reaction?

JEE Advance
College PredictorLive

Know your College Admission Chances Based on your Rank/Percentile, Category and Home State.

Get your JEE Main Personalised Report with Top Predicted Colleges in JoSA

Solution