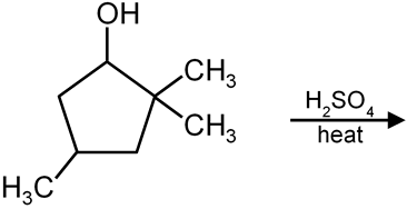
The major product formed in the following reaction is :

Know your College Admission Chances Based on your Rank/Percentile, Category and Home State.
Get your JEE Main Personalised Report with Top Predicted Colleges in JoSA
This is an electrophilic addition reaction of an alkene with HBr. The alkene is unsymmetrical, so Markovnikov's rule applies: hydrogen adds to the less substituted carbon. The bromine adds to the tertiary carbon, forming the most stable carbocation intermediate. The major product is the tertiary alkyl bromide.
Final Answer: The first option (top left image) is the major product.