Engineering
Chemistry
IUPAC Nomenclature of Organic Compound
Aldol condensation
Basic concepts of organic chemistry
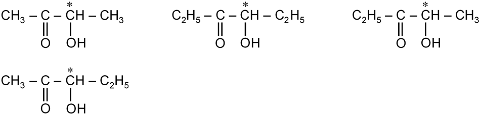
Question


The number of acyloin product(s) is / are

8

3

4

2

JEE Advance
College PredictorLive

Know your College Admission Chances Based on your Rank/Percentile, Category and Home State.

Get your JEE Main Personalised Report with Top Predicted Colleges in JoSA

Solution
Verified BY
Verified by Zigyan