Engineering
Chemistry
Carboanion
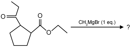
Question

 
The product is:

JEE Advance
College PredictorLive

Know your College Admission Chances Based on your Rank/Percentile, Category and Home State.

Get your JEE Main Personalised Report with Top Predicted Colleges in JoSA

Solution

Ketone is more reactive then ester toward CH3MgBr