Engineering
Chemistry
Test of aldehydes
Nucleophilic addition
Test of Alkenes and alkynes
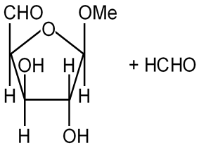
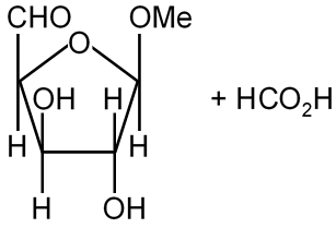
Question

The products of periodic acid oxidation of the above compound are

JEE Advance
College PredictorLive

Know your College Admission Chances Based on your Rank/Percentile, Category and Home State.

Get your JEE Main Personalised Report with Top Predicted Colleges in JoSA

Solution
Verified BY
Verified by Zigyan