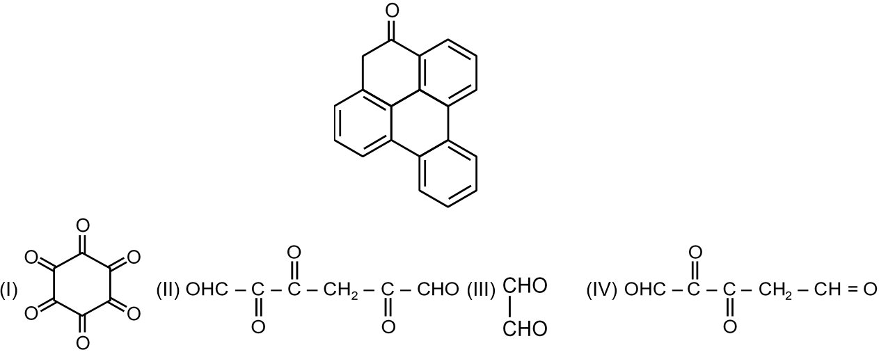
This compound on ozonolysis gives which of the following compounds

Know your College Admission Chances Based on your Rank/Percentile, Category and Home State.
Get your JEE Main Personalised Report with Top Predicted Colleges in JoSA
Epoxy ring is opened from least hindred site.