
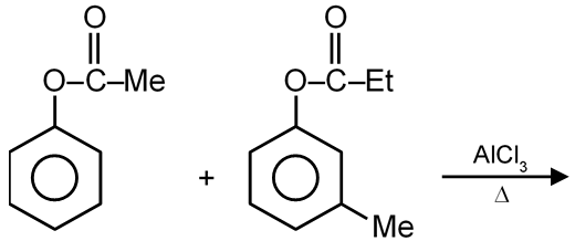
Which is/are true for above reaction
(I) It is known as Fries rearrangement
(II) AlCl3 must be anhydrous
(III) Total eight products can be produced
(IV) it follows intramolecular mechanism
Know your College Admission Chances Based on your Rank/Percentile, Category and Home State.
Get your JEE Main Personalised Report with Top Predicted Colleges in JoSA
The reaction shown is the Fries rearrangement of a phenyl ester. It involves migration of an acyl group to the ortho or para position of the aromatic ring, catalyzed by Lewis acids like anhydrous AlCl₃ to prevent hydrolysis. The substrate is a diester, so both ester groups can rearrange, leading to multiple isomeric products (ortho and para for each group). The mechanism is intramolecular, meaning the migrating group does not detach completely.
Analysis of the statements:
(I) True. It is the Fries rearrangement.
(II) True. Anhydrous AlCl₃ is required.
(III) False. For a diester, the possible mono-rearranged and di-rearranged products total more than eight, but the exact count is complex; "eight" is an oversimplification and not strictly accurate.
(IV) True. It follows an intramolecular mechanism.
Therefore, only statements I, II, and IV are correct.
Final Answer: I, II, IV