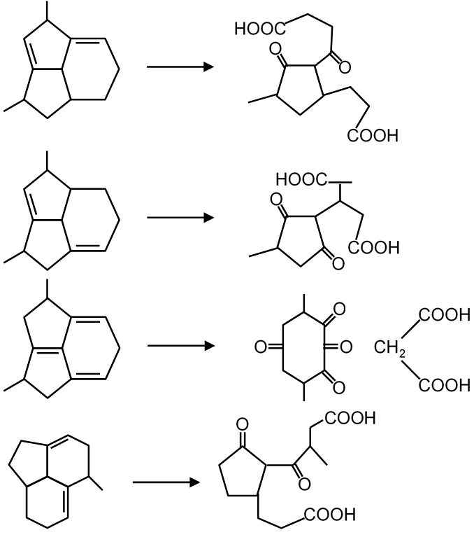
Which molecule will give the following dicarboxylic acid on heating with acidic solution of KMnO4?

Know your College Admission Chances Based on your Rank/Percentile, Category and Home State.
Get your JEE Main Personalised Report with Top Predicted Colleges in JoSA
