Engineering
Chemistry
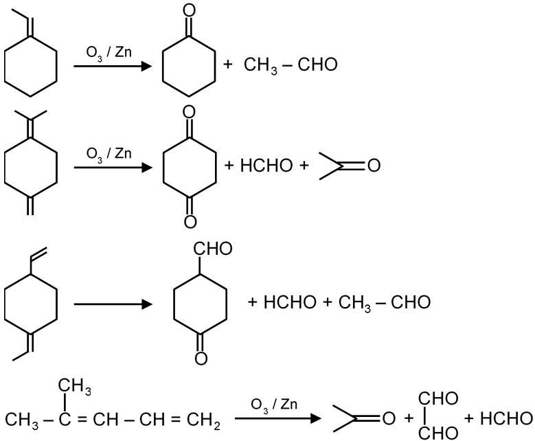
Ozonolysis
Question

Which of following on ozonolysis give 2-different product ?

JEE Advance
College PredictorLive

Know your College Admission Chances Based on your Rank/Percentile, Category and Home State.

Get your JEE Main Personalised Report with Top Predicted Colleges in JoSA

Solution