Engineering
Chemistry
Chemical Reactions of Alcohols
Chemical Reaction of Aldehyde and Ketones
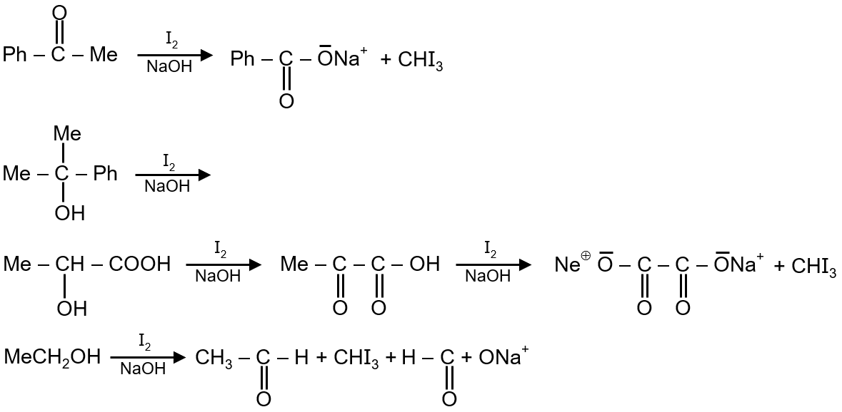
Iodoform test
Question

Which of the following will give positive iodoform test.

MeCH2OH

JEE Advance
College PredictorLive

Know your College Admission Chances Based on your Rank/Percentile, Category and Home State.

Get your JEE Main Personalised Report with Top Predicted Colleges in JoSA

Solution