Engineering
Chemistry
Alkene
Question

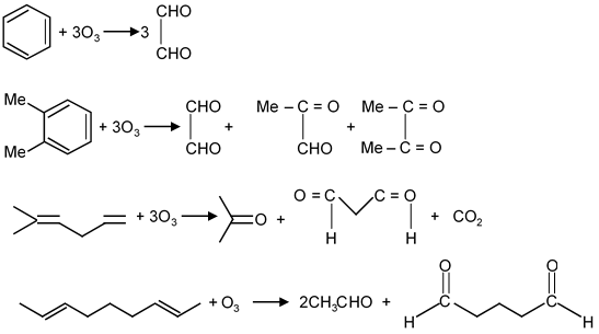
Which of the following will give three different compounds on ozonolysis 

JEE Advance
College PredictorLive

Know your College Admission Chances Based on your Rank/Percentile, Category and Home State.

Get your JEE Main Personalised Report with Top Predicted Colleges in JoSA

Solution