Engineering
Chemistry
Stereoisomerism
Optical Isomerism
Question

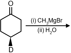
Which reaction will give diastereomeric products.

JEE Advance
College PredictorLive

Know your College Admission Chances Based on your Rank/Percentile, Category and Home State.

Get your JEE Main Personalised Report with Top Predicted Colleges in JoSA

Solution

Diastereomers are stereoisomers that are not mirror images. They form when a reaction creates new chiral centers from a chiral starting material, producing a mixture of stereoisomers that are not enantiomers.

For example, the addition of Br to a chiral alkene like (Z)-2-butene is stereospecific (anti addition) and gives a meso compound, not diastereomers. The correct reaction is the addition to an achiral alkene with existing chirality, where the new chiral center can form in different configurations relative to the existing one.

Final Answer: The reaction with the chiral substrate that creates a new chiral center, leading to a mixture of stereoisomers (e.g., the second option with bromination of a chiral alkene).