
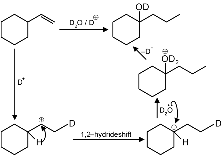
Which statement(s) is / are incorrect about above reaction.
Know your College Admission Chances Based on your Rank/Percentile, Category and Home State.
Get your JEE Main Personalised Report with Top Predicted Colleges in JoSA

* This reaction is catalysed by D⊕.