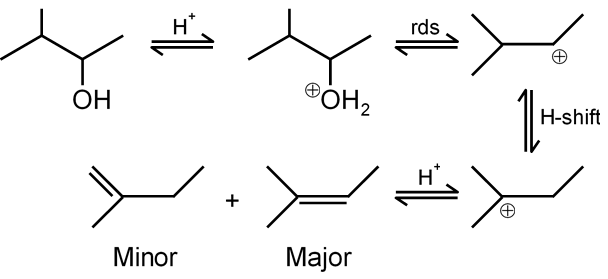
Generally alcohols give alkene on dehydration. Various dehydrating agents can be used for this purpose like conc. H2SO4, H3PO4, KHSO4 etc. When these dehydrating agents are used, carbocation generate during reaction. Generation of carbocation is rate determining step. Rearrange products are also formed during reaction. Generally Seytzeff alkene forms as major alkene. Example :

Know your College Admission Chances Based on your Rank/Percentile, Category and Home State.
Get your JEE Main Personalised Report with Top Predicted Colleges in JoSA
How many alkenes will form during Dehydration of cyclooctanol?

How many 1,2-shifting are involved during formation of given product in following reaction?


What will be order of rate of dehydration for following alcohols?

Rate of dehydration a Stability of carbocation