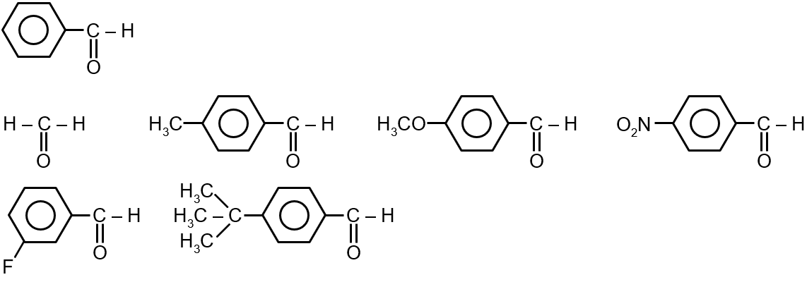
Give number of compounds which will oxidise during cross cannizaro reaction with

Know your College Admission Chances Based on your Rank/Percentile, Category and Home State.
Get your JEE Main Personalised Report with Top Predicted Colleges in JoSA
Cross Cannizzaro reaction involves aldehydes without alpha-hydrogens reacting with formaldehyde. Formaldehyde is oxidized to formic acid, while the other aldehyde is reduced to alcohol. Among the given compounds, only aldehydes without alpha-hydrogens can be oxidized by formaldehyde. The compounds are:
Thus, compounds 1, 4, and 6 will oxidize.
Final Answer: 3