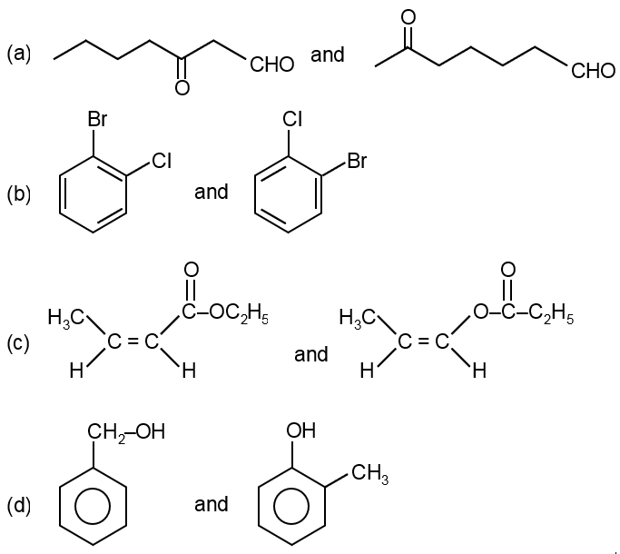
Give the relationship in given pair.

Write (1) if they are position isomers
(2) if they are chain isomers
(3) if they are functional isomers
(4) if they are ring chain isomers
(5) if they are metamers isomers
(6) if they are in identical
in answer sheet.
Know your College Admission Chances Based on your Rank/Percentile, Category and Home State.
Get your JEE Main Personalised Report with Top Predicted Colleges in JoSA
The given pair of compounds are ethers. They have the same molecular formula but differ in the nature of the alkyl groups attached to the oxygen atom. One is methyl propyl ether and the other is diethyl ether . This difference in the alkyl groups on either side of the functional group classifies them as metamers.
Final Answer: (5)