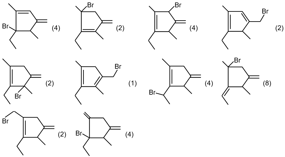
How many monobromo alkenes are produced during this reaction?

Know your College Admission Chances Based on your Rank/Percentile, Category and Home State.
Get your JEE Main Personalised Report with Top Predicted Colleges in JoSA
10 intermediate free radicals

So 10 structural isomeric products are formed and total products including stereoisomers are 33.
