Engineering
Chemistry
Chemical Reaction of Aldehyde and Ketones
Aldol condensation
Question

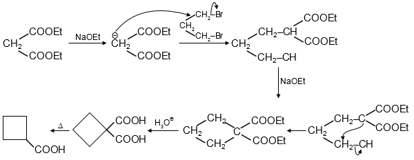
CH2(COOEt)2+(CH2)3BrNaOEtEtOHIH3O+ΔII

II is

JEE Advance
College PredictorLive

Know your College Admission Chances Based on your Rank/Percentile, Category and Home State.

Get your JEE Main Personalised Report with Top Predicted Colleges in JoSA

Solution