
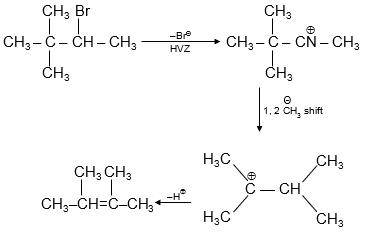
Major product is
Know your College Admission Chances Based on your Rank/Percentile, Category and Home State.
Get your JEE Main Personalised Report with Top Predicted Colleges in JoSA
Reaction will follow E1 mechanism due to solvolysis with MeOH and high temperature
