Engineering
Physics
Pressure Derivation Ideal Gas Equation and Gas Laws
Degree of Freedom Internal Energy of Gas and Specific Heat Capacity of Gases
Thermodynamics
Question

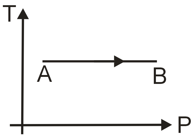
Temperature versus pressure graph of an ideal gas is shown in figure. During the process AB

  

Volume of the gas is increased

Internal energy of the gas remains constant. 

Work done on the gas is positive

Pressure is inversely proportional to volume.

JEE Advance
College PredictorLive

Know your College Admission Chances Based on your Rank/Percentile, Category and Home State.

Get your JEE Main Personalised Report with Top Predicted Colleges in JoSA

Solution
Verified BY
Verified by Zigyan

(A) T = constant

(C) WDon gas = nRT ln PfPi 

(D) if T = const. ; PV = const.