Engineering
Chemistry
Structural Isomerism
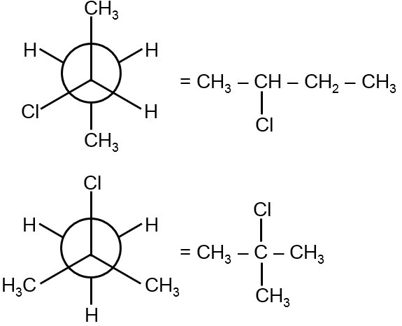
Question

What is relationship between

Positional isomer

Conformer

Chain isomer

Metamers

JEE Advance
College PredictorLive

Know your College Admission Chances Based on your Rank/Percentile, Category and Home State.

Get your JEE Main Personalised Report with Top Predicted Colleges in JoSA

Solution

So there are chain isomers