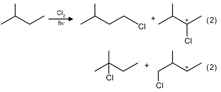
When isopentane is subjected to monochlorination. What will be the number of monochlorinated product contain chiral carbon?
Know your College Admission Chances Based on your Rank/Percentile, Category and Home State.
Get your JEE Main Personalised Report with Top Predicted Colleges in JoSA
