Engineering
Chemistry
VSEPR Theory
Crystal Field Theory and Valence Bond Theory
Isomerism in Coordination Compounds
Question

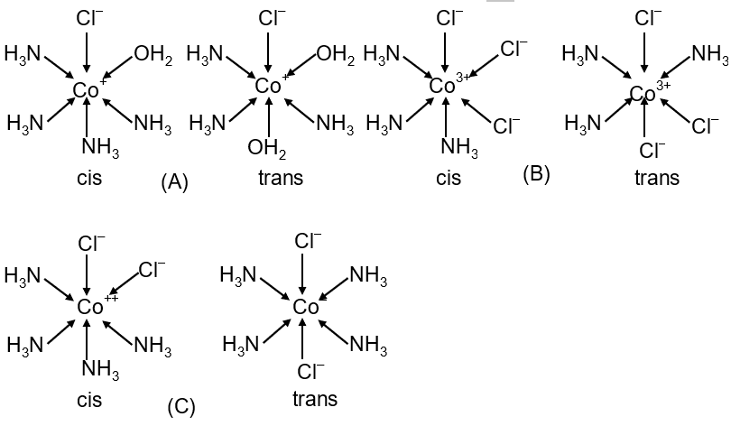
Which of the following complex compound exhibits cis-trans isomerism

[CoCl2(NH3)4]

All

[CoCl3(NH3)3]

[CoCl(NH3)4(H2O)]

JEE Advance
College PredictorLive

Know your College Admission Chances Based on your Rank/Percentile, Category and Home State.

Get your JEE Main Personalised Report with Top Predicted Colleges in JoSA

Solution
Verified BY
Verified by Zigyan